প্রচুরক কাকে বলে?
বিচ্ছিন্ন বা অশ্রেণীকৃত চলকের ক্ষেত্রে যে মানটি অধিক সংখ্যকবার প্রতীয়মান হয় তাকে ঐ চলকের প্রচুরক বলে।
ধরাযাক, কোন গ্রামের কয়েকটি পরিবারের সন্তানের সংখ্যা জরিপ করে নিম্নরূপ পাওয়া গেল –
| সন্তানের সংখ্যা | পরিবারের সংখ্যা |
| ০ | ৫ |
| ১ | ১১ |
| ২ | ২৩ |
| ৩ | ৩২ |
| ৪ | ১৭ |
| ৫ | ৮ |
| ৬ | ৩ |
উপরের তথ্যে দেখা যাচ্ছে যে, ৩টি সন্তানের সংখ্যা সবচেয়ে বেশি পরিবারে। অতএব, পরিবারের সন্তানের মডেল সাইজ হচ্ছে ৩।
কোন অবিন্যস্ত তথ্যমান সমূহকে মানের অনুসারে সাজিয়ে সবচেয়ে বেশি বার প্রতীয়মান হয়েছে এমন সংখ্যা খুঁজে বের করে প্রচুরক নির্ণয় করতে হয়।
শ্রেণিকৃত তথ্য থেকে বা অবিচ্ছিন্ন গণসংখ্যা নিবেশনে প্রচুরক নির্ণয়ঃ
শ্রেণিকৃত বা অবিচ্ছিন্ন গণসংখ্যা নিবেশনের জন্য প্রচুরক উপরোক্ত সংজ্ঞাটি সঠিক নয়। এক্ষেত্রে গণসংখ্যা নিবেশনের প্রচুরক শ্রেণি প্রথমে নির্বাচিত করতে হয়। গণসংখ্যা নিবেশনে যে শ্রেণিতে সবচেয়ে বেশি গণসংখ্যা থাকে ঐ শ্রেণিকে প্রচুরক শ্রেণি বলে।
প্রচুরকের মান নিম্নলিখিত সূত্রের সাহায্যে নির্ণয় করতে হয়।

লেখচিত্রের সাহায্যে প্রচুরক নির্ণয়ঃ
লেখচিত্রের মাধ্যমে নিম্ন উপায়ে প্রচুরক নির্ণয় করা যায়।
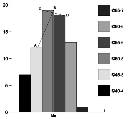
ক) প্রথমে গণসংখ্যা নিবেশনের একটি আয়তলেখ তৈরি করতে হবে। এখানে X অক্ষের দিকে শ্রেণির মান এবং Y অক্ষের দিকে গণসংখ্যার মান দেখাতে হবে।
খ) আয়তলেখের সর্বোচ্চ আয়তক্ষেত্রটি নির্বাচিত করতে হবে এবং এটিই হচ্ছে সর্বাধিক গণসংখ্যার প্রতীক এবং এখানেই প্রচুরক অবস্থান করবে।
গ) সর্বোচ্চ আয়তলেখ অর্থাৎ প্রচুরক শ্রেণি আয়তলেখের বাম পাশের এবং ডান পাশের আরও দুটি আয়তলেখ বিবেচনা করতে হবে।

ঘ) উপরের চিত্রে প্রদর্শিত উপায়ে প্রচুরক শ্রেণীর নিম্নসীমায় অবস্থিত বামপাশের আয়তক্ষেত্রের উচ্চতর বিন্দু A এর সহিত প্রচুরক শ্রেণির উচ্চসীমায় অবস্থিত আয়তক্ষেত্রের উচ্চতম বিন্দু B একটি সরলরেখা AB দ্বারা যোগ করতে হবে। আবার, প্রচুরক শ্রেণীর নিম্নসীমায় অবস্থিত আয়তক্ষেত্রের উচ্চতম বিন্দু C এর সহিত প্রচুরক শ্রেণির উচ্চসীমায় অবস্থিত ডান পাশের আয়তক্ষেত্রের উচ্চতম বিন্দু D একটি সরলরেখা CD দ্বারা যোগ করতে হবে। AB এবং CD রেখা M বিন্দুতে ছেদ করবে।
ঙ) M থেকে X অক্ষ বরাবর লম্ব টানলে X রেখায় M0 বিন্দুতে মিলিত হবে। এই M0 বিন্দুতে X এর মানই হবে প্রচুরক।
আরো দেখুনঃ