তাপ কাকে বলে?
তাপ হচ্ছে শক্তির একটি রূপ যা বস্তুর অভ্যন্তরীণ শক্তির সাথে সম্পর্কিত। দুটি বস্তু পরস্পরের সংস্পর্শে আনলে তাপের আদান প্রদান ঘটতে পারে। এই আদান প্রদান ঘটবে কিনা তা নির্ভর করবে বস্তুদ্বয়ের তাপীয় অবস্থার উপর।
তাপীয় সমতা কাকে বলে?
যে অবস্থায় পরস্পরের সংস্পর্শে থাকা বস্তুগুলোর মধ্যে তাপের আদান প্রদান ঘটে না তাকে তাপীয় সমতা বলে।
তাপমাত্রা কাকে বলে?
তাপমাত্রা বা উষ্ণতা হচ্ছে বস্তুর তাপীয় অবস্থা যা নির্ধারণ করে বস্তুটিকে অন্য বস্তুর তাপীয় সংস্পর্শে রাখলে তাপ দেবে না নেবে।
থার্মোমিটার কাকে বলে?
যে যন্ত্রের সাহায্যে কোনো বস্তুর তাপমাত্রা সঠিকভাবে পরিমাপ করা যায় এবং বিভিন্ন বস্তুর তাপমাত্রার পার্থক্য নির্ণয় করা যায় তাকে থার্মোমিটার বলে।
তাপগতিবিদ্যার শূন্যতম সূত্র
দুটি বস্তু যদি তৃতীয় কোনো বস্তুর সাথে তাপীয় সাম্যাবস্থায় থাকে তবে প্রথমোক্ত বস্তু দুটি পরস্পরের সাথে তাপীয় সাম্যাবস্থায় থাকবে।
আর. এইচ. ফাওলার এই সূত্রটিকে তাপ গতিবিদ্যার শূন্যতম সূত্র (Zeroth law of thermodynamics) নামে অভিহিত করেন। তাপীয় সাম্যাবস্থার উপরিউক্ত সূত্রের ওপর ভিত্তি করেই থার্মোমিটার তৈরি করা হয়েছে। এক্ষেত্রে তৃতীয় বস্তুটি থার্মোমিটারের ভূমিকা পালন করে।
উষ্ণতামিতি ধর্ম কাকে বলে?
উষ্ণতার পরিবর্তনে পদার্থের যে বিশেষ ধর্ম নিয়মিতভাবে পরিবর্তিত হয় এবং যে ধর্মের পরিবর্তন লক্ষ্য করে সহজ ও সূক্ষ্মভাবে উষ্ণতা নির্ণয় করা যায় তাকে উষ্ণতামিতি ধর্ম বলে।
উষ্ণতামিতি পদার্থ কাকে বলে?
যে সকল পদার্থের উষ্ণতামিতি ধর্ম ব্যবহার করে থার্মোমিটার তৈরি করা হয় তাদেরকে উষ্ণতামিতি পদার্থ বলে।
নিম্ন স্থির বিন্দু কাকে বলে?
যে তাপমাত্রায় প্রমাণ চাপে বিশুদ্ধ বরফ পানির সাথে সাম্যাবস্থায় থাকতে পারে অর্থাৎ যে তাপমাত্রায় বিশুদ্ধ বরফ গলতে শুরু করে তাকে নিম্ন স্থির বিন্দু বা বরফ বিন্দু বলে।
ঊর্ধ্ব স্থির বিন্দু কাকে বলে?
যে তাপমাত্রায় প্রমাণ চাপে বিশুদ্ধ পানি জলীয় বাষ্পের সাথে সাম্যাবস্থায় থাকতে পারে বা যে তাপমাত্রায় বিশুদ্ধ পানি জলীয় বাষ্পে পরিণত হতে শুরু করে তাকে ঊর্ধ্ব স্থির বিন্দু বা স্টিম বিন্দু বলে।
সেলসিয়াস স্কেল কাকে বলে?
যে স্কেলে বরফ বিন্দুকে 0°C এবং স্টিম বিন্দুকে 100°C ধরে মধ্যবর্তী মৌলিক ব্যবধানকে 100 ভাগে ভাগ করা হয়েছে সেই স্কেলকে সেলসিয়াস স্কেল বলে। এর এক ভাগকে এক ডিগ্রি সেলসিয়াস (1°C) বলা হয়।
ফারেনহাইট স্কেল কাকে বলে?
যে স্কেলে বরফ বিন্দুকে 32° এবং স্টিম বিন্দুকে 212° ধরে মধ্যবর্তী মৌলিক ব্যবধানকে 180 ভাগে ভাগ করা হয় সেই স্কেলকে ফারেনহাইট স্কেল বলে। এর এক এক ভাগকে এক ডিগ্রি ফারেনহাইট (1°F) বলা হয়।
ত্রৈধবিন্দু কাকে বলে?
একটি নির্দিষ্ট চাপে যে তাপমাত্রায় কোনো পদার্থ কঠিন, তরল ও বায়বীয় রূপে সাম্যাবস্থায় থাকে তাকে ঐ পদার্থের ত্রৈধবিন্দু বলে।
পানির ত্রৈধবিন্দু কাকে বলে?
4.58 mm পারদস্তম্ভ চাপে যে তাপমাত্রায় বিশুদ্ধ বরফ, পানি ও জলীয়বাষ্প একটি তাপীয় সাম্যাবস্থায় থাকে তাকে পানির ত্রৈধবিন্দু বলে।
তাপ গতীয় স্কেল কাকে বলে?
পানির ত্রৈধবিন্দুর তাপমাত্রাকে 273.16 কেলভিন এবং ঐ তাপমাত্রার 1/273.16 কে এক কেলভিন ধরে তাপমাত্রার যে স্কেল গণনা করা হয় তাকে তাপ গতীয় স্কেল বলে।
আন্তর্জাতিক স্কেল কাকে বলে?
পানির ত্রৈধবিন্দুকে 273.16 কেলভিন এবং ঐ তাপমাত্রার 1/273.16 কে এক কেলভিন ধরে এবং আরো কতগুলো সহজলব্ধ স্থির বিন্দু নির্ধারণ করে আন্তর্জাতিক ওজন ও পরিমাপ সংস্থা তাপমাত্রা পরিমাপের যে ব্যবহারিক স্কেল অনুমোদন করেছেন তাকে আন্তর্জাতিক স্কেল বলে।
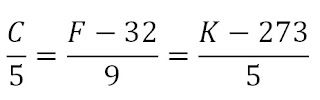
তাপমাত্রার বিভিন্ন স্কেলের মধ্যে সম্পর্ক
যেকোনো তাপমাত্রার পাঠ সেলসিয়াস, ফারেনহাইট ও কেলভিন স্কেলে যথাক্রমে C, F এবং K হলে একটি প্রাপ্ত তাপমাত্রার মান অন্য স্কেলে কী হবে নিম্নের সমীকরণ ব্যবহার করে সহজে হিসাব করা যায়ঃ
