- যে নিউক্রিয়ার বিক্রিয়া একবার শুরু হলে আর বন্ধ হয় না ধারাবাহিকভাবে অগ্রসর হতে থাকে, তাকে চেইন রি-অ্যাকশন বলে।
- একটি নিউট্রন দ্বারা একটি বড় পরমাণুকে আঘাত করলে দুটি নতুন ছোট পরমাণু ও দুটি নিউট্রনের সৃষ্টি হয়। এভাবে শিকলের ন্যায় নিউক্লিয়ার বিক্রিয়া চলতে থাকে, যতক্ষণ পর্যন্ত বি্ক্রিয়ার মাধ্যমে ভেঙে ছোট পরমাণু হওয়ার মতো পরমাণু অবশিষ্ট থাকে। একে নিউক্লিয়ার শিকল বিক্রিয়া বা চেইন রি-অ্যাকশন(Chain Reaction) বলে।
যে বিক্রিয়া একবার শুরু হলে তাকে চালু রাখার জন্য অতিরিক্ত কোনো শক্তির প্রয়োজন হয় না তাকে নিউক্লিয়ার চেইন বিক্রিয়া বলে।
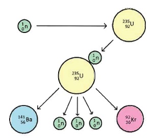
একটি ইউরিনিয়াম-২৩৫ আইসোটোপকে একটি নিউট্রন দিয়ে আঘাত করা হলে ইউরেনিয়াম-২৩৫ ভেঙ্গে একটি বেরিয়াম-১৪১ নিউক্লিয়াস, একটি ক্রিপ্টন-৯২ নিউক্লিয়াস, 3টি নিউট্রন এবং প্রচুর পরিমাণে শক্তি উৎপন্ন হয়। এই তিনটি নিউট্রনের গতি কমানো সম্ভব হলে সেগুলোর একটি অংশ আবার অন্য ইউরেনিয়াম-২৩৫ আইসোটোপকে আঘাত করে। এভাবে আরো নিউট্রন উৎপন্ন হয়। সেই নিউট্রনগুলোর গতিবেগ কমানো হলে তাদের একটি অংশ আবার অন্য ইউরেনিয়াম-২৩৫ কে আঘাত করে ফলে আবার নিউট্রন উৎপন্ন হয়। এইভাবে চলমান বিক্রিয়াকে নিউক্লিয়ার চেইন বিক্রিয়া বলা হয়।
